发展高性能固态电解质对实现下一代锂金属电池至关重要。近日,上海科技大学物质科学与技术学院严佳骏课题组与许超课题组合作,在聚合物塑性晶体电解质方向取得重要进展。针对聚合物-丁二腈复合体系虽具备优异电化学性能、但离子电导率等关键指标仍有待提升的现实挑战,团队创新性地提出通过可控/活性支化自由基聚合法(CLBRP)合成电化学稳定支化聚丙烯腈的新策略,所得聚合物的独特支化结构在聚合物-丁二腈塑性晶体环境中能够形成连续的锂离子传导通道,显著降低传输阻力,使锂离子能够实现更快速的迁移。相关成果发表于ACS Macro Letters。

图1 支化聚丙烯腈的聚合物塑性晶体电解质。(a)线性PAN与支化PAN在丁二腈(SN)中的构象。(b)通过CLBRP合成支化PAN的示意图。
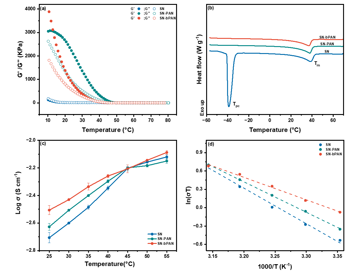
该研究以结构设计为核心抓手,采用2-氯丙烯腈作为引发支化单体,在分子层面精准构筑支化架构。电化学表征显示,与采用未参杂或常规线性聚合物的体系相比,该电解质在离子电导率、锂离子转移数和电化学稳定性方面均有显著提升,有助于缓解高电流密度下的局部浓差与枝晶风险。研究不仅验证了支化策略在优化固态电解质离子传输中的关键作用,也将聚合物的有序-柔性特征与塑性晶体相进行深度耦合,提供了兼顾安全性、能量密度与寿命的材料设计思路。

图2. 塑性离子导体的表征
本项工作中,物质学院博士研究生刘欣为论文第一作者,物质学院严佳骏教授、许超教授为通讯作者,上海科技大学为唯一完成单位。
论文标题:Branched Polyacrylonitrile Enabling Highly Lithium-Ion-Conductive Polymer Plastic Crystal Electrolytes
论文链接:https://pubs.acs.org/doi/full/10.1021/acsmacrolett.5c00576
