非常规高温超导机理是凝聚态物理领域的核心科学难题之一。历经数十年研究,科学家们仅在铜氧化物和铁基化合物两类体系中观测到高温超导现象。镍基高温超导体的发现,为理解高温超导机制开辟了全新的研究平台,但相关基础研究仍处于起步阶段,许多关键科学问题亟待解决。近年来,上海科技大学物质科学与技术学院拓扑物理实验室、量子功能材料全国重点实验室齐彦鹏课题组与合作者在镍基高温超导研究领域取得了系列进展。
Ruddlesden-Popper镍氧化物多晶样品的高压超导和掺杂效应
齐彦鹏组采用固相反应法与溶胶-凝胶法成功制备了一系列 Ruddlesden-Popper (RP) 结构镍氧化物多晶(La2NiO4、La3Ni2O7,La4Ni3O10等)及掺杂样品,并利用金刚石对顶砧(Diamond Anvil Cell, DAC)装置对这些样品开展了系统的高压原位测量研究。结果表明,压力可以在La3Ni2O7 多晶样品中诱导出临界温度(Tc)为86 K 的超导转变(图1)。这是首次在镍基氧化物多晶材料中观测到超导现象。进一步研究表明,双层结构的La3Ni2O7 对掺杂表现出高度敏感性。值得注意的是,利用同价态的稀土元素钇(Y)进行掺杂,可有效提升其超导转变温度。相较于单晶样品需要在较高氧压条件(约15 bar)下生长,多晶样品超导电性的实现显著降低了镍基氧化物的研究壁垒。

图1:La3Ni2O7多晶在压力下的超导相图
上述工作发表于国际学术期刊《材料科学技术》(Journal of Materials Science & Technology),并获期刊2024年度优秀论文奖(Excellent Article Award)。上海科技大学为该研究成果第一完成单位,上海科技大学博士研究生张明鑫为第一作者,齐彦鹏教授为通讯作者。
论文标题:Effects of pressure and doping on Ruddlesden-Popper phases Lan+1NinO3n+1
论文连接:https://www.sciencedirect.com/science/article/pii/S1005030223009829
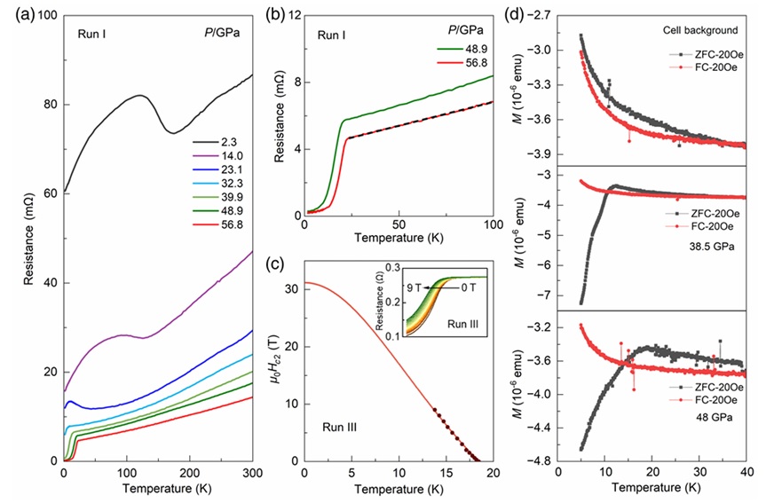
三层镍氧化物La4Ni3O10超导电性
双层镍氧化物La3Ni2O7高温超导电性的发现,激发了研究者对镍基超导家族更广泛的兴趣。齐彦鹏组与松山湖材料实验室郭汉杰研究员合作,利用光学浮区炉成功生长出高质量的RP 相三层镍氧化物 La4Ni3O10单晶。在约56 GPa 的高压下,该单晶样品呈现出临界温度约为 25 K 的超导电性(空间群为 I4/mmm)。随着压力的增加,电阻率异常所指示的密度波序被逐渐抑制,随后超导态出现(图2)。磁化率测量证实了块体超导的存在,且其超导体积分数超过 80%。理论分析揭示反铁磁超交换相互作用可作为高压下 La4Ni3O10中超导配对的有效媒介。相较于La3Ni2O7,三层结构的La4Ni3O10展现出明显的配对阻挫效应。La4Ni3O10是继La3Ni2O7 之后发现的第二个高温超导镍氧化物体系,为研究RP 结构镍氧化物中的非常规超导机制提供了新的平台。

图2:La4Ni3O10单晶在压力下的超导电性
上述工作发表于国际知名期刊《物理评论X》(Physical Review X),并入选高被引论文。上海科技大学为第一完成单位。上海科技大学与松山湖材料实验室联培博士生张明鑫,上海科技大学裴翠颖副研究员、上海前瞻物质科学研究院彭帝博士、清华大学博士生杜宪、上海科技大学博士生胡伟雄与松山湖材料实验室博士生曹延涛为共同第一作者,上海科技大学齐彦鹏教授、清华大学杨乐仙教授,上海科技大学颜世超教授、北京高压科学研究中心曾桥石研究员、北京理工大学杨帆教授与松山湖材料实验室郭汉杰研究员为共同通讯作者。
论文标题:Superconductivity in Trilayer Nickelate La4Ni3O10 under Pressure
论文连接:https://journals.aps.org/prx/abstract/10.1103/PhysRevX.15.021005
高压下Pr4Ni3O10超导电性与电子结构
高压下镍氧化物超导体的发现,为理解高温超导机制开辟了新视角,迄今研究主要集中于镧(La)系RP 相材料。探索新型RP镍氧化物超导体对于揭示其非常规超导的普遍性至关重要。在镨(Pr)镍氧化物单晶 (Pr4Ni3O10) 中,研究团队观测到了压力诱导的超导现象。当压力超过10 GPa时,该材料发生超导转变,Tc 可达39 K,且未见饱和迹象。该临界温度显著超过了镧镍氧化物 (La4Ni3O10) 所报道的25~30 K纪录。与La4Ni3O10不同,高压下Pr4Ni3O10的电子结构展现出两个鲜明特征(图3):(1) 由三个镍原子 dz² 轨道构成的σ键合能带发生显著的金属化转变;(2) dx²−y² 轨道构成的耦合能带在费米能级附近形成范霍夫奇点 (van Hove singularity)。这些电子特征与双层镧镍基超导体La3Ni2O7相似。这些发现揭示了镍基高温超导体与多层铜氧化物高温超导体在晶体结构和电子结构上存在关键共性特征,为理解高温超导的物理机制提供了重要的统一性线索。
上述工作发表于《中国科学: 物理学 力学 天文学(英文版)》(SCIENCE CHINA Physics, Mechanics & Astronomy)。上海科技大学为第一完成单位。上海科技大学裴翠颖副研究员、上海科技大学与松山湖材料实验室联培博士生张明鑫、上海前瞻物质科学研究院彭帝博士、上海科技大学博士后沈阳、北京工业大学皇甫尚雄为文章共同第一作者,上海科技大学齐彦鹏教授、张广铭教授、北京高压科学研究中心曾桥石研究员、松山湖材料实验室郭汉杰研究员和北京工业大学索红莉教授为共同通讯作者。
论文标题:Unveiling pressurized bulk superconductivity in a trilayer nickelate Pr4Ni3O10 single crystal
论文连接:https://www.sciengine.com/SCPMA/doi/10.1007/s11433-025-2852-4

图3:Pr4Ni3O10单晶在压力下的电子结构与费米面
镍基高温超导各向异性研究
超导材料的上临界磁场及其各向异性是揭示超导机理的核心参数。然而,RP型镍氧化物的超导转变需在高压下实现,其极高的上临界磁场使各向异性研究面临巨大技术挑战。为克服此难题,团队自主设计了低温高压原位旋转装置,成功实现了高压下的角度依赖输运测量。利用该装置,在50.2 GPa高压下对Pr4Ni3O10单晶进行了系统的转角测量。其上临界磁场的各向异性参数γ仅为1.6,显著低于铜基超导体(如Bi-2212的γ ≈ 60)和铁基超导体(如KFe2Se2的γ ≈ 6.8)。该γ值随温度升高单调下降,在临界温度Tc附近趋近于1(即各向同性极限),呈现出典型的三维(3D)超导特征。值得关注的是,尽管Pr4Ni3O10与铜基超导体具有相似的准二维四方晶格,但其与铁基超导材料具有类似的弱超导各向异性(图4)。这不仅首次证实了块体RP结构镍氧化物中的弱超导各向异性,且阐明了其微观物理机制,为理解高温超导中维度效应的调控机制提供了关键的实验依据。
上述成果发表于国际学术期刊《美国化学会志》(Journal of the American Chemical Society)。上海科技大学为第一完成单位和通讯单位。上海科技大学副研究员裴翠颖博士,博士后沈阳,北京高压科学研究中心副研究员彭帝博士,上海科技大学与松山湖材料实验室联培博士生张明鑫为共同第一作者,上海科技大学物质学院齐彦鹏教授、张广铭教授,北京高压科学研究中心曾桥石研究员,松山湖材料实验室郭汉杰研究员为共同通讯作者。
论文标题:Weakly Anisotropic Superconductivity of Pr4Ni3O10 Single Crystals
论文连接:https://pubs.acs.org/doi/full/10.1021/jacs.5c17977

图4:Pr4Ni3O10及典型高温超导材料的各向异性
此外,齐彦鹏课题组还积极与国内科研单位广泛合作,在镍基超导方向取得了多项合作成果,包括镍氧化物的角分辨光电子能谱测量(与清华大学杨乐仙课题组合作,齐彦鹏教授为共同通讯作者,Chin. Phys. Lett. 2024, 41: 087402,Phys. Rev. Lett. 2025, 135: 146506),镍氧化物多晶的氧压退火对超导物性的影响研究(与山东大学张俊杰课题组合作,齐彦鹏教授为共同通讯作者,J. Solid State Chem. 2025, 125757), 镍基氧化物La4Ni3O10单晶的µSR测量(与松山湖郭汉杰课题组合作,Phys. Rev. B 2025, 112: 174423)等,相关三层镍基氧化物超导进展综述发表在《物理学报》(Acta Phys. Sin., 2025, 74(22): 227402),上述系列研究成果为理解镍基氧化物高温超导机制提供了重要线索。
